Command Line Applications

TECA’s command line applications deliver the highest perfromance, while providing a good deal of flexibility for common use cases. This section describes how to run TECA’s command line applications. If you need more flexibility or functionality not packaged in a command line application consider using our Python scripting capabilities.

Running the command line applications requires the environment to be correctly configured. One should either install to a default location, or load the appropriate modulefile, for example when using installs on NERSC. Experience has proven that it is best to start with a clean environment (i.e. no other modules loaded) and to load the teca modulefiles as late as possible. For instance when running in a batch script on the Cray load the teca module in the batch script rather than in your shell.

Application

Description

teca_metadata_probe

A diagnostic tool used for run planning

teca_integrated_vapor_transport

Computes IVT (integrated vapor transport)

teca_bayesian_ar_detect

AR detection with uncertainty quantification

teca_deeplab_ar_detect

A machine learning based AR detector

teca_temporal_reduction

Computes reductions (min, max, average) over the time dimension

teca_tc_detect

TC detection using GFDL algorithm

teca_tc_trajectory

Computes TC tracks from a set of candidates

teca_tc_wind_radii

Computes storm size from a set of TC tracks

teca_tc_stats

Computes descriptive statistics from a set of TC tracks

teca_tc_trajectory_scalars

Plots tracks on a map along with GFDL detectors parameters

teca_tc_wind_radii_stats

Computes descriptive statistics relating to TC storm size

teca_convert_table

Convert tabular data from one file format to another

teca_event_filter

Select TC tracks using run time provided expressions

Applying the Command Line Applications at Scale

In addition to the examples shown below, the TECA_examples github repository contains a number of examples illustrating the application of various command line tools on large data sets at scale on DOE supercomputers. The examples are organized by application or task(AR detection, TC detection, etc) then by data source (eg. CMIP6, CAM5, etc). These examples include batch scripts used to probe the dataset to determine run size and the batch scripts used to process the data as well as any batch scripts used to post-process the results.

Considerations When Running at NERSC

Runtime Environment

The runtime environment must be configured correctly to use TECA. This includes setting paths such that the versions of dependencies, such as Python and NetCDF, that TECA was compiled against are found at runtime as well as a number of other settings.

The TECA_sueprbuild is used to install TECA at NERSC. The process is described in more detail in On a Cray Supercomputer. During the install an environment modules modulefile is generated and installed. Using TECA on NERSC’s Cray systems requires loading the modulefile.

module swap PrgEnv-intel PrgEnv-gnu
module use /global/cscratch1/sd/loring/teca_testing/installs/develop/modulefiles/
module load teca

The first line loads the GCC compiler environment and must occur prior to loading the teca environment module. The second line tells the module system where to look for the teca modulefile and the third line loads the module, configuring the environment for use with TECA.

m1517 CASCADE installs

Members of the CASCADE project m1517 can access rolling installs on Cori. These are located on the common file system. At least two installs will be available: stable and develop. The stable install contains the latest official release. See releases page of the TECA github repo for an up to date list of releases. The develop install points to a rolling release of TECA with new as of yet unreleased features and code. The develop install is used to deliver updates to the team on an as needed basis.

In order to use the develp install one would issue the following shell commands at the top of their batch scripts.

module swap PrgEnv-intel PrgEnv-gnu
module use /global/common/software/m1517/develop
module load teca

In order to make use of the stable release install swap develop for stable in the second of these commands.

Compute vs Login Nodes

The Login nodes are the ones you land on when ssh’ing in while compute nodes are obtained via slurm commands. MPI parallel programs cannot be run on the login nodes, even in serial. When one tries to run a parallel application on a login node the program will abort in MPI_Init. Because many of the TECA command line applications use MPI, one should run them from the compute nodes. For large runs this should be accomplished by submitting a batch job. For experimentation and debugging in the shell use the interactive queue.

File Systems

NERSC provides the following file systems, knowing their properties is a key part of successfully making runs at NERSC.

Home ($HOME)

The home file system is a conventional networked file system. It provides the worst performance and should not be used with TECA at all.

Scratch ($SCRATCH)

The Lustre scratch file system provides the best performance and could be used for both TECA installs and the data that will be processed. One caveat is that NERSC periodically purges unused files from scratch and an install may be damaged or removed completely during the purging process.

Common (/global/common/software/)

This parallel file system is optimized for software installs. It delivers a simlar performance to the scratch file system and is not periodically purged. The common file system is a good option for locating an install. An effective stratgey for deploying TECA at NERSC is to place installs on in common and the data to be processed on scratch.

Project/Community ($CFS)

The community file system (CFS), formerly know as project, is intended to house long lived data shared with the outside world. The CFS does not deliver the best performance and the scratch and/or common file systems should be preferred for housing both TECA installs and the data to be processed when possible. Note that before launching runs processing data stored on CFS export HDF5_USE_FILE_LOCKING=FALSE. Not disabling file locking on CFS will result in the cryptic NetCDF error NetCDF: HDF error. The teca environment module handles this setting.

When making runs at NERSC using TECA one should use the scratch file system for both builds and installs if at all possible. When the data to be processed resides on CFS file system, disable HDF5 file locking.

Python based code on KNL Nodes

Importing numpy can abort on KNL nodes, a warning that 272 cores is beyond the acceptable limit of 256 is displayed before the code exits. One may work around this by setting

export OPENBLAS_NUM_THREADS=1

This is currently set automatically in the teca environment module file.

KNL vs Haswell Nodes

Some key differences in architectures should be taking into account when planning runs. Haswell CPU’s have higher clock speeds and greater overall computational throughput and TECA will run faster there. The Haswell nodes have 2 CPU’s per node and hence 2 NUMA domains. For this reason one should tell slurm to bind MPI ranks to cores. This ensures memory accesses occur within the local NUMA domain. TECA’s threading infrastructure does this by default. While the KNL nodes are slower, they have a lower charge factor and jobs over 1024 nodes in the regular queue have a 50% discount. Additionally queue wait times for KNL nodes are substantially lower than for Haswell nodes. For those reasons KNL is a great option.

Sizing and Layout of Runs

The number of time steps is key for planning a parallel run in TECA applications that parallelize over time steps. One can use the run time of the app on a single time step in conjunction with number of time steps per MPI rank in the job to estimate the run time at a given concurrency level. One then selects the concurrency level based on the run time and, queue wait times, etc. See teca_metadata_probe for information on determining the number of time steps and available arrays.

TECA will automatically make use of threads for on node parallelism if there are more physical cores available than there are MPI ranks in use. In order to take advantage of this one needs to spread the MPI ranks out on the set of compute nodes in use such that there are fewer MPI ranks than physical CPU cores. This is done through the combination of -n and -N srun options. Little n tells the total number of MPI ranks to use, and big N tells how many nodes in total to spread them across. \((number of nodes) * (physical cores per node) > (total number of MPI ranks)\) Haswell nodes have 32 physical cores per node while KNL nodes have 68 physical cores per node.

TECA makes use of threads and OpenMP for parallelism on CPU based systems. When there are fewer MPI ranks per node than there are physical cores per node (32 on Haswell/68 on KNL) TECA will size internal thread pools such that each thread is bound to a unique physical core while accounting for all thread pools on the node. This has been determined to be the most performant strategy. One should avoid the use of the -c and –bind-cores srun options unless one fully understands the implications as improper settings can substantially degrade performance.

Common Command Line Options

The command line applications have been designed so that the specification input datasets, output datasets, and common execution control options are the same where ever possible. Details of the common options and controls are presented in this section in more detail.

Getting Help

All command line applications support the following options for displaying application specific command line option documentation in the shell.

--help

Display the basic options help. Basic options are the ones that will be most commonly used with the application. In most cases using just the basic options will suffice.

--advanced_help

Display the advanced options help. All of the settable properties of the individual pipeline stages used in the application can be accessed via the advanced options. Each stage is given a name that is used to prefix its options. In that way multiple stages of the same type can be differentiated. Through this mechanism all available control parameters are exposed to the user.

--full_help

Display both the basic and the advanced options help.

Specifying Input NetCDF Datasets

For applications that process mesh based data in NetCDF format there are two command line options for specifying input data to process.

--input_file arg

a teca_multi_cf_reader configuration file identifying the set of NetCDF CF2 files to process. When present data is read using the teca_multi_cf_reader. Use one of either –input_file or –input_regex.

--input_regex arg

a teca_cf_reader regex identifying the set of NetCDF CF2 files to process. When present data is read using the teca_cf_reader. Use one of either –input_file or –input_regex.

Note that both of these options make use of regular expressions to identify a set of files to process. Regular expressions provide a compact mechanism for specifying a large set of files. Furthermore they can be used to subset the files based on the contents of the file names. Subsetting in this way enables one to process time ranges.

Regular Expressions

Regular expressions are used by the teca_wrf_reader, teca_cf_reader and teca_multi_cf_reader to identify and select all or a subset of a NetCDF dataset to read and process.

Regular expressions look like the more familiar shell glob, but are much more powerful and the special characters have different meanings. Here are the basics:

Character

Description

.

wild card, matches any character

*

repeat the previous character zero or more times

[]

match any character in the brackets. For example [0-9] matches a single digit number zero through nine. [A-Z] matches a single capital letter, while [xzy] matches a single x,y, or z

^

If used as the first character in a [] list, it negates the list. Otherwise, this is an anchor matching the beginning of the string.

\

Escapes the next character. This is critical for specifying file names, the . separating the file from the extension needs to be escaped.

$

matches the end of the string.

Because shell globs uses some of the same control characters, when a regex is issued in a shell the characters must be quoted or escaped to keep the shell from expanding them. Single quotes are the most effective since they prevent the shell from processing the quoted text. Alternatively backslashes may be used to escape characters individually.

Another difference between shell globbing and regular expressions is that regular expressions can partially match. Use of anchors ^ and $ can help, even so care is required to avoid picking up files inadvertently.

An example of an input regex which includes all .nc files is: ‘.*\.nc$’. If instead one wanted to grab only files from 2004-2005 then ‘.*\.200[45].*\.nc$’ would do the trick. For the best performance, specify the smallest set of files needed to achieve the desired result. Each of the files will be opened in order to scan the time axis.

TECA makes use of POSIX Basic Regular Expressions, more information can be found here.

MCF Reader Configuration Files

When data from the same dataset resides in different directories MCF configuration files are used to configure the readers.

The configuration file consists of name = value pairs and flags organized in sections. Sections are declared using brackets []. There is an optional opening global section that comes first followed by one or more [cf_reader] sections.

The following example from the HighResMIP dataset MCF configures the reader to read the variables hus, ua and va each from a different subdirectory.

# TECA multi cf reader config
# Fri Nov  6 09:24:17 PST 2020

data_root = /global/cfs/cdirs/m3522/cmip6/CMIP6_hrmcol/HighResMIP/CMIP6/HighResMIP/ECMWF/ECMWF-IFS-HR/highresSST-present/r1i1p1f1/6hrPlevPt
regex = 6hrPlevPt_ECMWF-IFS-HR_highresSST-present_r1i1p1f1_gr_199[0-9].*\.nc$

[cf_reader]
variables = hus
regex = %data_root%/hus/gr/v20170915/hus_%regex%
provides_time
provides_geometry

[cf_reader]
variables = ua
regex = %data_root%/ua/gr/v20170915/ua_%regex%

[cf_reader]
variables = va
regex = %data_root%/va/gr/v20170915/va_%regex%

The global section may contain data_root and regex name-value pairs. Occurrences of the strings %data_root% and %regex% in the regex name-value pairs found in following [cf_reader] sections are replaced with the values of the globals. The following global section key words are supported:

key word

description

data_root

Can be used to hold the common part of the path to data files. Optional. Occurrences of %data_root% found in the regex specification will be replaced with this value.

regex

Can be used to hold the common part of the regular expression. Optional. Occurrences of %data_root% found in the regex specification will be replaced with this value.

Each [cf_reader] section consists of a name`(optional), a `regex, a list of variables, a provides_time flag(optional) and a provides_geometry flag(optional). At least one section must contain a provides_time and provides geometry flag. The following are [cf_reader] section key words:

key word

description

name

An optional name for the reader. This is used to set advanced command line options.

regex

A regular expression identifying a set of files.

variables

A comma separated list of variables to serve from this reader. Variables not in the list are ignored.

provides_time

A flag, the presence of which indicates that this reader will provide the time axis.

provides_geometry

A flag the presence of which indicates that this reader will provide the mesh definition.

Rearranging Input Data

When the data to be processed is organized on disk such that can’t easily be selected using the regex mechanism described above, one possible solution is to use a shell script to create a set of symbolic links pointing to the original data that is.

For instance the following shell script was used to rearrange an ERA5 dataset that was stored on disk such that each month of data exists in a unique folder. The folders were named by an integer with 4 digits encoding the year and 2 digits encoding the month, YYYYMM.

mkdir CMIP6_ERA5_e5_oper_an_sfc/
for d in `ls --color=never /global/cfs/cdirs/m3522/cmip6/ERA5/e5.oper.an.sfc`
do
    f=/global/cfs/cdirs/m3522/cmip6/ERA5/e5.oper.an.sfc/${d}/e5.oper.an.sfc.128_137_tcwv.*.nc
    ln -s ${f} CMIP6_ERA5_e5_oper_an_sfc/
done

The ln command creates a symbolic link to the file passed as its first argument at the location passed as its second argument. See also ERA5 data and Seasonal Average of ERA5 Data.

Overriding the Time Axis

In cases where it is necessary to override the time axis or manually specify values, the following teca_cf_reader options can be used.

–cf_reader::t_axis_variable arg

The name of variable that has time axis coordinates (time). Set to an empty string to enable override methods (–filename_time_template, –t_values) or to disable time coordinates completely

–cf_reader::t_calendar arg

An optional calendar override. May be one of: standard, Julian, proplectic_Julian, Gregorian, proplectic_Gregorian, Gregorian_Y0, proplectic_Gregorian_Y0, noleap, no_leap, 365_day, 360_day. When the override is provided it takes precedence over the value found in the file. Otherwise the calendar is expected to be encoded in the data files using CF2 conventions.

–cf_reader::t_units arg

An optional CF2 time units specification override declaring the units of the time axis and a reference date and time from which the time values are relative to. If this is provided it takes precedence over the value found in the file. Otherwise the time units are expected to be encoded in the files using the CF2 conventions

–cf_reader::filename_time_template arg

An optional std::get_time template string for decoding time from the input file names. If no calendar is specified the standard calendar is used. If no units are specified then “days since %Y-%m-%d 00:00:00” where Y,m,d are determined from the filename of the first file. Set t_axis_variable to an empty string to use.

–cf_reader::t_values arg

An optional explicit list of double precision values to use as the time axis. If provided these take precedence over the values found in the files. Otherwise the variable pointed to by the t_axis_variable provides the time values. Set t_axis_variable to an empty string to use.

The Overrides, –filename_time_template and t_values are activated by setting –t_axis_variable to an empty string “”. When decoding the time axis from file names, a template must be provided that matches the filenames. For instance a template for the files: my_file_20170516_00.nc, my_file_20170516_03.nc, … might be my_file_%Y%m%d_%H.nc.

Subsetting in the Time Dimension

A simple way of subsetting the time dimension is by using a suitable regex when specifying the input dataset. This section describes options that will subset withing the data identified by the regular expression.

The following two command line options let one subset by time step. This is the most efficient way to subset the time dimension. However, Use of these options requires one to know the mapping between steps and times. In some cases this is easy to calculate. For instance when there is a file per day of data.

--first_step arg

The first time step to process

--last_step arg

The last time step to process

When it is not easy to determine the mapping between time steps and time the following command line options use TECA’s calendaring capabilities to select a subset of data occurring between two dates provided in a human readable form.

--start_date arg

The first time to process in ‘Y-M-D h:m:s’ format

--end_date arg

The last time to process in ‘Y-M-D h:m:s’ format

The accepted format is a human readable date spec such as YYYY-MM-DD hh:mm:ss. Because of the space in between day and hour spec quotes must be used. For example “2005-01-01 00:00:00”. Specifying start and end dates are optional. If only –start_date is given then the steps from that date on are included, while if only –end-date is given steps up to an including that date are included. if neither –start-date nor –end-date are given then all of the time steps in all of the files specified are processed.

Specifying Mesh Dimensions

TECA identifies mesh coordinate axes using the names lon and lat. One can override these and make another variable provide the coordinate axes.

Unless an application is intrinsically 3D (eg. a vertical integral) by default the mesh is assumed to be 2D. To tell the reader to generate a 3D mesh set the z-axis variable name.

--x_axis_variable arg

name of x coordinate variable (lon)

--y_axis_variable arg

name of y coordinate variable (lat)

--z_axis_variable arg

name of z coordinate variable (). When processing 3D set this to the variable containing the vertical coordinates. When empty the data will be treated as 2D.

Writing Results To Disk

Mesh Based Data in NetCDF CF2 Format

The following options control file name and layout when writing mesh based data in NetCDF CF2 format.

--output_file arg

file pattern for output netcdf files (%t% is the time index)

--steps_per_file arg

number of time steps per output file

–cf_writer::date_format arg

A strftime format used when encoding dates into the output file names (%F-%HZ)”)

Tabular Data

Data such as TC tracks is stored in tabular format. The table writer will select the format based on the output file extension. This can be one of: .csv, .bin, or .nc. The .bin and .nc format are organized by columns while the .csv format is organized by rows. The teca_convert_table command line application converts from one format to the other and TECA’s Python bindings can be used to write post processing scripts.

teca_metadata_probe

The metadata probe is a command line application that presents how TECA sees input dataset to the user in a textual format. The primary use of the metadata probe is: planning runs by getting the number of time steps selected by a date range or regular expression; validating regular expression or MCF (multi-cf) configuration files; determining which variables are in the files and what are their shapes and dimensions.

Inputs

A 2 or 3D time dependent mesh in NetCDF CF2 format

Outputs

  1. The number of time steps found in the files selected by the regex and/or start and end date

  2. The calendar and simulated time range selected by the regex and/or start/end date

  3. The mesh dimensionality. The default is 2D , for 3D data use the –z_axis_variable command line option.

  4. A list of the available arrays and their dimensions and shapes.

Command Line Arguments

--input_file arg

a teca_multi_cf_reader configuration file identifying the set of NetCDF CF2 files to process. When present data is read using the teca_multi_cf_reader. Use one of either –input_file or –input_regex.

--input_regex arg

a teca_cf_reader regex identyifying the set of NetCDF CF2 files to process. When present data is read using the teca_cf_reader. Use one of either –input_file or –input_regex.

–x_axis_variable arg (=lon)

name of x coordinate variable

–y_axis_variable arg (=lat)

name of y coordinate variable

--z_axis_variable arg

name of z coordinate variable. When processing 3D set this to the variable containing vertical coordinates. When empty the data will be treated as 2D.

--start_date arg

The first time to process in ‘Y-M-D h:m:s’ format. Note: There must be a space between the date and time specification

--end_date arg

The last time to process in ‘Y-M-D h:m:s’ format

--help

displays documentation for application specific command line options

--advanced_help

displays documentation for algorithm specific command line options

--full_help

displays both basic and advanced documentation together

Examples

CMIP6 data

In this example the metadata_probe examines data from the HighResMIP collection. The data is organized such that the data files for each variable reside in their own directory. In this case we use the MCF file.

$ salloc -N 17 -C knl -q interactive -t 01:00:00

$ module swap PrgEnv-intel PrgEnv-gnu
$ module use /global/cscratch1/sd/loring/teca_testing/installs/develop/modulefiles/
$ module load teca

$ time srun -N 17 -n 1024 teca_metadata_probe --z_axis_variable plev \
    --input_file HighResMIP_ECMWF_ECMWF-IFS-HR_highresSST-present_r1i1p1f1_6hrPlevPt.mcf

WARNING: [0:46912496725888] [/global/cscratch1/sd/loring/teca_testing/TECA_superbuild/build-cf-reader/TECA-prefix/src/TECA/io/teca_cf_reader.cxx:623 TECA-BARD-v1.0.1-222-ge294c25]
WARNING: File 528 "hus_6hrPlevPt_ECMWF-IFS-HR_highresSST-present_r1i1p1f1_gr_199401010000-199401311800.nc" units "days since 1994-1-1 00:00:00" differs from base units "days since 1950-1-1 00:00:00" a conversion will be made.
WARNING: [0:46912496725888] [/global/cscratch1/sd/loring/teca_testing/TECA_superbuild/build-cf-reader/TECA-prefix/src/TECA/io/teca_cf_reader.cxx:623 TECA-BARD-v1.0.1-222-ge294c25]
WARNING: File 529 "hus_6hrPlevPt_ECMWF-IFS-HR_highresSST-present_r1i1p1f1_gr_199402010000-199402281800.nc" units "days since 1994-1-1 00:00:00" differs from base units "days since 1950-1-1 00:00:00" a conversion will be made.
#
# many simlar warning messages omitted...
#
WARNING: [0:46912496725888] [/global/cscratch1/sd/loring/teca_testing/TECA_superbuild/build-cf-reader/TECA-prefix/src/TECA/io/teca_cf_reader.cxx:623 TECA-BARD-v1.0.1-222-ge294c25]
WARNING: File 779 "va_6hrPlevPt_ECMWF-IFS-HR_highresSST-present_r1i1p1f1_gr_201412010000-201412311800.nc" units "days since 1994-1-1 00:00:00" differs from base units "days since 1950-1-1 00:00:00" a conversion will be made.

A total of 94964 steps available. Using the gregorian calendar. Times are specified
in units of days since 1950-1-1 00:00:00. The available times range from 1950-1-1
0:0:0 (0) to 2014-12-31 18:0:0 (23740.8).

Mesh dimension: 3D
Mesh coordinates: lon, lat, plev

7 data arrays available

  Id   Name    Type         Dimensions                Shape
-----------------------------------------------------------------------
  1    hus     NC_FLOAT     [time, plev, lat, lon]    [94964, 7, 361, 720]
  2    lat     NC_DOUBLE    [lat]                     [361]
  3    lon     NC_DOUBLE    [lon]                     [720]
  4    plev    NC_DOUBLE    [plev]                    [7]
  5    time    NC_DOUBLE    [time]                    [94964]
  6    ua      NC_FLOAT     [time, plev, lat, lon]    [94964, 7, 361, 720]
  7    va      NC_FLOAT     [time, plev, lat, lon]    [94964, 7, 361, 720]


real        1m23.011s
user        0m0.451s
sys 0m0.469s

There are 94964 time steps in this 3D dataset. The maximum MPI concurrency for this dataset is 94964 MPI ranks. Using fewer MPI ranks will result in some or all ranks processing multiple time steps. A number of warnings were printed as the probe ran because the reader detected that the calendar and/or time units were inconsistent in some of the files. In this case the reader made a conversion such that all of the data is presented to the down stream stages in the same calendar and units.

ARTMIP MERRA data

This example shows how to configure the reader for extracting the time axis from the file names. In this example dataset was organized such that the data from each simulated year was stored in its own folder. Each time step was stored in a file, no time information was stored in the file itself. Instead, the date and time was encoded in the file name.

$ salloc -N 10 -C knl -q interactive -t 01:00:00

$ module swap PrgEnv-intel PrgEnv-gnu
$ module use /global/cscratch1/sd/loring/teca_testing/installs/develop/modulefiles/
$ module load teca

$ year=1980
$ data_dir=/global/project/projectdirs/m1517/cascade/external_datasets/ARTMIP/MERRA_2D/${year}
$ regex='ARTMIP_MERRA_2D_.*\.nc'

$ time srun -n 680 -N 10 teca_metadata_probe \
    --input_regex "${data_dir}/${regex}" --cf_reader::t_axis_variable '' \
    --cf_reader::filename_time_template ARTMIP_MERRA_2D_%Y%m%d_%H.nc

STATUS: [0:46912496725888] [/global/cscratch1/sd/loring/teca_testing/TECA_superbuild/build-cf-reader/TECA-prefix/src/TECA/io/teca_cf_reader.cxx:823 TECA-BARD-v1.0.1-222-ge294c25]
STATUS: The time axis will be infered from file names using the user provided template "ARTMIP_MERRA_2D_%Y%m%d_%H.nc" with the "standard" calendar in units "days since 1980-01-01 00:00:00"

A total of 2928 steps available in 2928 files. Using the standard calendar.
Times are specified in units of days since 1980-01-01 00:00:00. The available
times range from 1980-1-1 0:0:0 (0) to 1980-12-31 21:0:0 (365.875).

Mesh dimension: 2D
Mesh coordinates: lon, lat

7 data arrays available

  Id   Name    Type         Dimensions    Shape
-------------------------------------------------
  1    IVT     NC_FLOAT     [lat, lon]    [361, 576]
  2    IWV     NC_FLOAT     [lat, lon]    [361, 576]
  3    PS      NC_FLOAT     [lat, lon]    [361, 576]
  4    lat     NC_DOUBLE    [lat]         [361]
  5    lon     NC_DOUBLE    [lon]         [576]
  7    uIVT    NC_FLOAT     [lat, lon]    [361, 576]
  8    vIVT    NC_FLOAT     [lat, lon]    [361, 576]

real        0m13.980s
user        0m0.307s
sys 0m0.240s

The output shows that there were 2928 time steps in this year. The maximum level of concurrency one could exploit in processing this dataset is 2928 MPI ranks. Running with fewer than 2928 MPI ranks will result in some or all ranks processing multiple time steps.

CAM5 data

In the following example the metadata probe is used to determine the number of time steps in a large CAM5 dataset spread over many files.

$data_dir=/global/cscratch1/sd/mwehner/machine_learning_climate_data/All-Hist/CAM5-1-0.25degree_All-Hist_est1_v3_run1/h2
$srun -N 17 -n 1024 ./bin/teca_metadata_probe --input_regex=${data_dir}/'.*\.nc$'

A total of 58400 steps available in 7300 files. Using the noleap calendar.
Times are specified in units of days since 1995-02-01 00:00:00. The available
times range from 1996-1-1 0:0:0 (334) to 2015-12-31 21:0:0 (7633.88).

Mesh dimension: 2D
Mesh coordinates: lon, lat

45 data arrays available

  Id    Name            Type         Dimensions          Shape
-----------------------------------------------------------------------

  1     PRECT           NC_FLOAT     [time, lat, lon]    [58400, 768, 1152]
  2     PS              NC_FLOAT     [time, lat, lon]    [58400, 768, 1152]
  3     PSL             NC_FLOAT     [time, lat, lon]    [58400, 768, 1152]
  4     QREFHT          NC_FLOAT     [time, lat, lon]    [58400, 768, 1152]
  5     T200            NC_FLOAT     [time, lat, lon]    [58400, 768, 1152]
  6     T500            NC_FLOAT     [time, lat, lon]    [58400, 768, 1152]
  7     TMQ             NC_FLOAT     [time, lat, lon]    [58400, 768, 1152]
  8     TREFHT          NC_FLOAT     [time, lat, lon]    [58400, 768, 1152]
  9     TS              NC_FLOAT     [time, lat, lon]    [58400, 768, 1152]
  10    U850            NC_FLOAT     [time, lat, lon]    [58400, 768, 1152]
  11    UBOT            NC_FLOAT     [time, lat, lon]    [58400, 768, 1152]
  12    V850            NC_FLOAT     [time, lat, lon]    [58400, 768, 1152]
  13    VBOT            NC_FLOAT     [time, lat, lon]    [58400, 768, 1152]
  14    Z1000           NC_FLOAT     [time, lat, lon]    [58400, 768, 1152]
  15    Z200            NC_FLOAT     [time, lat, lon]    [58400, 768, 1152]
  16    ZBOT            NC_FLOAT     [time, lat, lon]    [58400, 768, 1152]
  17    ch4vmr          NC_DOUBLE    [time]              [58400]
  18    co2vmr          NC_DOUBLE    [time]              [58400]
  19    date            NC_INT       [time]              [58400]
  20    date_written    NC_BYTE      [time, chars]       [58400, 8]
  21    datesec         NC_INT       [time]              [58400]
  22    f11vmr          NC_DOUBLE    [time]              [58400]
  23    f12vmr          NC_DOUBLE    [time]              [58400]
  24    gw              NC_DOUBLE    [lat]               [768]
  25    hyai            NC_DOUBLE    [ilev]              [31]
  26    hyam            NC_DOUBLE    [lev]               [30]
  27    hybi            NC_DOUBLE    [ilev]              [31]
  28    hybm            NC_DOUBLE    [lev]               [30]
  29    ilev            NC_DOUBLE    [ilev]              [31]
  30    lat             NC_DOUBLE    [lat]               [768]
  31    lev             NC_DOUBLE    [lev]               [30]
  32    lon             NC_DOUBLE    [lon]               [1152]
  33    n2ovmr          NC_DOUBLE    [time]              [58400]
  34    ndcur           NC_INT       [time]              [58400]
  35    nlon            NC_INT       [lat]               [768]
  36    nscur           NC_INT       [time]              [58400]
  37    nsteph          NC_INT       [time]              [58400]
  38    slat            NC_DOUBLE    [slat]              [767]
  39    slon            NC_DOUBLE    [slon]              [1152]
  40    sol_tsi         NC_DOUBLE    [time]              [58400]
  41    time            NC_DOUBLE    [time]              [58400]
  42    time_bnds       NC_DOUBLE    [time, nbnd]        [58400, 2]
  43    time_written    NC_BYTE      [time, chars]       [58400, 8]
  44    w_stag          NC_DOUBLE    [slat]              [767]
  45    wnummax         NC_INT       [lat]               [768]

In this example the dataset is quite large comprised of 7300 files. Each file has 456MB of data for a total aggregate size of over 3TB. In this case it is necessary to run the metadata probe using MPI in order for the probe to complete in a reasonable amount of time. A serial run of the probe on this dataset took over 71 minutes while the parallel run shown above took about 47 seconds. Note that because this dataset has a large number of files it is an extreme case, for datasets with on the order of a few hundred files a serial or small MPI parallel run should work well.

ERA5 data

In the following example the metadata probe is used to determine the contents of a an ERA5 dataset spanning 41 years of simulated time at quarter degree, 1 hourly resolution.

time srun -n 247 teca_metadata_probe \
    --input_regex ./CMIP6_ERA5_e5_oper_an_sfc/'.*\.nc$' \
    --x_axis_variable longitude --y_axis_variable latitude

A total of 360840 steps available in 494 files. Using the gregorian calendar.
Times are specified in units of hours since 1900-01-01 00:00:00. The available
times range from 1979-1-1 0:0:0 (692496) to 2020-2-29 22:59:60 (1.05334e+06).

Mesh dimension: 2D
Mesh coordinates: longitude, latitude

5 data arrays available

  Id   Name         Type         Dimensions                     Shape
--------------------------------------------------------------------------------
  1    TCWV         NC_FLOAT     [time, latitude, longitude]    [360840, 721, 1440]
  2    latitude     NC_DOUBLE    [latitude]                     [721]
  3    longitude    NC_DOUBLE    [longitude]                    [1440]
  4    time         NC_INT       [time]                         [360840]
  5    utc_date     NC_INT       [time]                         [360840]

This dataset was stored on disk arranged such that each month of data exists in a unique folder. The folders are named by a 6 digit integer, YYYYMM, with 4 digits encoding the year and 2 digits encoding the month. Prior to applying the metadata probe a set of symlinks were created so that all of the files of interest were collocated in a single folder making them easy to select with a simple regex. See Rearranging Input Data for information on creating symlinks.

teca_bayesian_ar_detect

The Bayesian AR detection (BARD) application is an MPI+threads parallel code that applies an uncertainty inference on a range of input fields, mainly Integrated Vapor Transport (IVT) and Integrated Water Vapor (IWV). We use a Bayesian framework to sample from the set of AR detector parameters that yield AR counts similar to the expert database of AR counts; this yields a set of plausible AR detectors from which we can assess quantitative uncertainty. TECA-BARD is described in [OBrienRL+20].

_images/cascade_ar_globe_fig.png

Fig. 2 Pseudocoloring of precipitable water with superposed 5%, 50%, and 100% contours of AR probability. Green x shows ground truth obtained via manual expert identification.

Inputs

A 3D time dependent mesh in NetCDF CF2 format with:

  1. horizontal wind velocity vector

  2. specific humidity

Or a 2D time dependent mesh with:

  1. IVT magnitude

Outputs

A 2D mesh with:

  1. AR probability

  2. A segmentation of AR probability

If IVT was computed from horizontal wind and specific humidity

  1. IVT vector

  2. IVT magnitude

Command Line Arguments

--input_file arg

a teca_multi_cf_reader configuration file identifying the set of NetCDF CF2 files to process. When present data is read using the teca_multi_cf_reader. Use one of either –input_file or –input_regex.

--input_regex arg

a teca_cf_reader regex identifying the set of NetCDF CF2 files to process. When present data is read using the teca_cf_reader. Use one of either –input_file or –input_regex.

–ivt arg (=IVT)

name of variable with the magnitude of integrated vapor transport

--compute_ivt_magnitude

when this flag is present magnitude of vector IVT is calculated. use –ivt_u and –ivt_v to set the name of the IVT vector components if needed.

–ivt_u arg (=IVT_U)

name of variable with longitudinal component of the integrated vapor transport vector.

–ivt_v arg (=IVT_V)

name of variable with latitudinal component of the integrated vapor transport vector.

--write_ivt_magnitude

when this flag is present IVT magnitude is written to disk with the AR detector results

--compute_ivt

when this flag is present IVT vector is calculated from specific humidity, and wind vector components. use –specific_humidity –wind_u and –wind_v to set the name of the specific humidity and wind vector components, and –ivt_u and –ivt_v to control the names of the results, if needed.

–specific_humidity arg (=Q)

name of variable with the 3D specific humidity field.(Q)

–wind_u arg (=U)

name of variable with the 3D longitudinal component of the wind vector.

–wind_v arg (=V)

name of variable with the 3D latitudinal component of the wind vector.

--write_ivt

when this flag is present IVT vector is written to disk with the result

–x_axis_variable arg (=lon)

name of x coordinate variable

–y_axis_variable arg (=lat)

name of y coordinate variable

–z_axis_variable arg (=plev)

name of z coordinate variable

–periodic_in_x arg (=1)

Flags whether the x dimension (typically longitude) is periodic.

–binary_ar_threshold arg (=0.667)

probability threshold for segmenting ar_probability to produce ar_binary_tag

–output_file arg (=CASCADE_BARD_%t%.nc)

A path and file name pattern for the output NetCDF files. %t% is replaced with a human readable date and time corresponding to the time of the first time step in the file. Use –cf_writer::date_format to change the formatting

–steps_per_file arg (=128)

number of time steps per output file

–last_step arg (=-1)

last time step to process

--start_date arg

The first time to process in ‘Y-M-D h:m:s’ format. Note: There must be a space between the date and time specification

--end_date arg

The last time to process in ‘Y-M-D h:m:s’ format

–n_threads arg (=-1)

Sets the thread pool size on each MPI rank. When the default value of -1 is used TECA will coordinate the thread pools across ranks such each thread is bound to a unique physical core.

--verbose

enable extra terminal output

--help

displays documentation for application specific command line options

--advanced_help

displays documentation for algorithm specific command line options

--full_help

displays both basic and advanced documentation together

Node level parallelism

The CASCADE BARD AR detector internally makes use C++ threads for node level parallelism. By default the detector determines the size of thread pools based on the number of physical CPU cores per node and the number of MPI ranks running on the node. Taking advantage of this feature requires scheduling fewer MPI ranks per node than there are physical CPU cores. This is accomplished by using the -N X and -n Y srun command line options because srun will spread the Y` MPI ranks evenly across X nodes leaving free CPU cores. On Cori KNL nodes there are 68 CPU cores per node amd on Cori Haswell nodes 32. So, for example when running on KNL nodes with 68 MPI ranks, to give the detector thread pools 4 cores one would launch the job with srun -N 4 -n 68 ….

Examples

CMIP6 data

This example illustrates detecting ARs(atmospheric rivers) in a CMIP6 dataset using TECA’s BARD(Bayesian AR detector) detector.

#!/bin/bash
#SBATCH -C knl
#SBATCH -N 1484
#SBATCH -q regular
#SBATCH -t 00:30:00
#SBATCH -A m1517
#SBATCH -J 2_CASCADE_BARD_AR_detect

# load the GCC enviornment
module swap PrgEnv-intel PrgEnv-gnu

# load the TECA module
module use /global/cscratch1/sd/loring/teca_testing/installs/develop/modulefiles/
module load teca

# make a directory for the output files
out_dir=HighResMIP_ECMWF_ECMWF-IFS-HR_highresSST-present_r1i1p1f1_6hrPlevPt/CASCADE_BARD_all
mkdir -p ${out_dir}

# do the ar detections. change -N and -n to match the rus size.
time srun -N 1484 -n 23744 teca_bayesian_ar_detect \
    --input_file ./HighResMIP_ECMWF_ECMWF-IFS-HR_highresSST-present_r1i1p1f1_6hrPlevPt.mcf \
    --specific_humidity hus --wind_u ua --wind_v va --ivt_u ivt_u --ivt_v ivt_v --ivt ivt \
    --compute_ivt --write_ivt --write_ivt_magnitude --steps_per_file 128 \
    --output_file ${out_dir}/CASCADE_BARD_AR_%t%.nc

This dataset spans the year 1950 to 2014 with 7 pressure levels at a 1/2 degree spatial and 6 hourly time resolution. There are 94964 simulated time steps stored in 780 files which require 290 GB disk space per scalar field. The data is organized such that the data files for each variable reside in their own directory. This MCF file was used to configure the readers.

In this example IVT is calculated on the fly from horizontal wind vector and specific humidity, thus 870 GB was processed. If IVT magnitude is available on disk, one may omit the –compute_ivt flag to use it directly.

The dataset was processed using 100912 cores on 1484 KNL nodes on NERSC’s Cray supercomputer Cori. The run computed the IVT vector, its magnitude, the probability of an AR and a segmentation of the AR probability. The run completed in 4m 1s and generated a total of 392 GB of data.

In determining the number of MPI ranks to use in this run, the number of time steps in the dataset was first determined using the teca_metadata_probe as shown in the above example. The CASCADE BARD AR detector relies on threading for performance and spreading the MPI ranks out such that each has a number of threads is advised. Here each MPI rank was given 4 physical cores for exclusive use.

ARTMIP MERRA data

The following example documents SLURM script that was used to generate output used by [OBrienRL+20]. This run used 1520 nodes, and simultaneously ran 1,024 AR detectors on the 37 years of the MERRA-2 reanalysis in approximately 2 minutes on the Cori KNL supercomputer at NERSC.

#!/bin/bash
#SBATCH -J bard_merra2
#SBATCH -N 1520
#SBATCH -C knl
#SBATCH -q regular
#SBATCH -t 00:20:00

# load the gcc environment
module swap PrgEnv-intel PrgEnv-gnu

# bring a TECA install into your environment
module use /global/cscratch1/sd/loring/teca_testing/installs/develop/modulefiles/
module load teca

WORKDIR=$SCRATCH/teca_bard_merra2_artmip
mkdir -p ${WORKDIR}
cd $WORKDIR

for year in `seq 1980 2017`
do
    echo "Starting ${year}"
    srun -n 680 -c 16 -N 40 --cpu_bind=cores teca_bayesian_ar_detect \
        --input_regex "/global/project/projectdirs/m1517/cascade/external_datasets/ARTMIP/MERRA_2D/${year}/ARTMIP_MERRA_2D_.*\.nc" \
        --cf_reader::t_axis_variable "" \
        --cf_reader::filename_time_template  "ARTMIP_MERRA_2D_%Y%m%d_%H.nc" \
        --steps_per_file 3000 \
        --cf_writer::date_format "%Y" \
        --output_file MERRA2.ar_tag.teca_bard_v1.0.3hourly.%t%.nc4 &> bard_${year}_${SLURM_JOB_ID}.log &
done

wait
echo "All done."

This example shows how to configure the reader for extracting the time axis from the file names. In this example dataset was organized such that the data from each simulated year was stored in its own folder. Each time step was stored in a file, no time information was stored in the file itself. Instead, the date and time was encoded in the file name.

In the above script, srun launches the detector once for each year on a unique set of 40 nodes using 680 MPI ranks. The BARD makes use of threads internally and it can be beneficial to spread the MPI ranks out giving each rank exclusive access to a number of physical cores. In this example each rank has approximately 4 cores.

In determining the number of ranks to use per run, the number of steps per year was taken into account. See the teca_metadata_probe ARTMIP example.

teca_integrated_vapor_transport

The integrated vapor transport(IVT) command line application computes IVT from input wind vector and specific humidity.

Inputs

A 3D time dependent mesh in NetCDF CF2 format with:

  1. horizontal wind velocity vector

  2. specific humidity

Outputs

A 2D mesh with one or more of:

  1. IVT vector

  2. IVT magnitude

Command Line Arguments

--input_file arg

a teca_multi_cf_reader configuration file identifying the set of NetCDF CF2 files to process. When present data is read using the teca_multi_cf_reader. Use one of either –input_file or –input_regex.

--input_regex arg

a teca_cf_reader regex identifying the set of NetCDF CF2 files to process. When present data is read using the teca_cf_reader. Use one of either –input_file or –input_regex.

–specific_humidity arg (=Q)

name of variable with the 3D specific humidity field.

–wind_u arg (=U)

name of variable with the 3D longitudinal component of the wind vector.

–wind_v arg (=V)

name of variable with the 3D latitudinal component of the wind vector.

–ivt_u arg (=IVT_U)

name to use for the longitudinal component of the integrated vapor transport vector.

–ivt_v arg (=IVT_V)

name to use for the latitudinal component of the integrated vapor transport vector.

–ivt arg (=IVT)

name of variable with the magnitude of integrated vapor transport

–write_ivt_magnitude arg (=0)

when this is set to 1 magnitude of vector IVT is calculated. use –ivt_u and –ivt_v to set the name of the IVT vector components and –ivt to set the name of the result if needed.

–write_ivt arg (=1)

when this is set to 1 IVT vector is written to disk with the result. use –ivt_u and –ivt_v to set the name of the IVT vector components of the result if needed.

–output_file arg (=IVT_%t%.nc)

A path and file name pattern for the output NetCDF files. %t% is replaced with a human readable date and time corresponding to the time of the first time step in the file. Use –cf_writer::date_format to change the formatting

–steps_per_file arg (=128)

number of time steps per output file

–x_axis_variable arg (=lon)

name of x coordinate variable

–y_axis_variable arg (=lat)

name of y coordinate variable

–z_axis_variable arg (=plev)

name of z coordinate variable

–periodic_in_x arg (=1)

Flags whether the x dimension (typically longitude) is periodic.

–first_step arg (=0)

first time step to process

–last_step arg (=-1)

last time step to process

--start_date arg

The first time to process in ‘Y-M-D h:m:s’ format. Note: There must be a space between the date and time specification

--end_date arg

The last time to process in ‘Y-M-D h:m:s’ format

--n_threads arg

Sets the thread pool size on each MPI rank. When the default value of -1 is used TECA will coordinate the thread pools across ranks such each thread is bound to a unique physical core.

--verbose

enable extra terminal output

--help

displays documentation for application specific command line options

--advanced_help

displays documentation for algorithm specific command line options

--full_help

displays both basic and advanced documentation together

Examples

CMIP6 data

This example illustrates computing IVT(integrated vapor transport) from a HighResMIP dataset using TECA.

#!/bin/bash
#SBATCH -C knl
#SBATCH -N 500
#SBATCH -q debug
#SBATCH -t 00:30:00
#SBATCH -A m1517

# load the gcc environment
module swap PrgEnv-intel PrgEnv-gnu

# bring a TECA install into your environment
module use /global/cscratch1/sd/loring/teca_testing/installs/develop/modulefiles/
module load teca

# make a directory for the output files
mkdir -p HighResMIP_ECMWF_ECMWF-IFS-HR_highresSST-present_r1i1p1f1_6hrPlevPt/ivt

# do the IVT calcllation. change -N and -n to match the run size.
time srun -N 500 -n 1000 teca_integrated_vapor_transport                                                \
    --input_file ./HighResMIP_ECMWF_ECMWF-IFS-HR_highresSST-present_r1i1p1f1_6hrPlevPt.mcf              \
    --specific_humidity hus --wind_u ua --wind_v va --ivt_u ivt_u --ivt_v ivt_v --ivt ivt               \
    --write_ivt 1 --write_ivt_magnitude 1                                                               \
    --output_file ./HighResMIP_ECMWF_ECMWF-IFS-HR_highresSST-present_r1i1p1f1_6hrPlevPt/ivt/ivt_%t%.nc  \
    --steps_per_file 32 --n_threads -1 --verbose

This HighResMIP dataset spans the year 1950 to 2014 with 7 pressure levels at a 1 degree spatial and 6 hourly time resolution. There are 94964 simulated time steps stored in 780 files which require 290 GB disk space per scalar field. The IVT calculation makes use of horizontal wind vector and specific humidity, thus 870 GB was processed.

The dataset was processed using 100912 cores on 1484 KNL nodes on NERSC’s Cray supercomputer Cori. The run computed the IVT vector and its magnitude. The run completed in 2m 49s and generated a total of 276 GB of data.

The HighResMIP data is organized such that each variable is stored in its own directory. This MCF file was used to configure the readers.

teca_tc_detect

The cyclone detector is an MPI+threads parallel map-reduce based application that identifies tropical cyclone tracks in NetCDF-CF2 climate data. The application is comprised of a number of stages that are run in succession producing tables containing cyclone tracks. The tracks then can be visualized or further analyzed using the TECA TC statistics application, TECA’s Python bindings, or the TECA ParaView plugin.

The detection algorithm is based on the open source GFDL code described in [VS01] with improvements to the original code to handle modern higher spatio-temporal resolution datasets and adjustments to default thresholds based on observational data published in [RG07].

_images/lic_v850_TMQ.0071.png

Fig. 3 Cyclone tracks plotted with 850 mb wind speed and integrated moisture.

Inputs

A Cartesian mesh stored in a collection of NetCDF CF2 files. The detector requires on the following fields.

  1. Sea level pressure

  2. Surface wind vector

  3. 850 mb wind vector

  4. 500 mb temperature

  5. 200 mb temperature

  6. 1000 mb height

  7. 200 mb height

Outputs

  1. Cyclone andidate table

  2. Cyclone track table

Command Line Arguments

--input_file arg

a teca_multi_cf_reader configuration file identifying the set of NetCDF CF2 files to process. When present data is read using the teca_multi_cf_reader. Use one of either –input_file or –input_regex.

--input_regex arg

a teca_cf_reader regex identifying the set of NetCDF CF2 files to process. When present data is read using the teca_cf_reader. Use one of either –input_file or –input_regex.

–candidate_file arg (=candidates.bin)

file path to write the storm candidates to. The extension determines the file format. May be one of .nc, .csv, or .bin

–850mb_wind_u arg (=U850)

name of variable with 850 mb wind x-component

–850mb_wind_v arg (=V850)

name of variable with 850 mb wind x-component

–surface_wind_u arg (=UBOT)

name of variable with surface wind x-component

–surface_wind_v arg (=VBOT)

name of variable with surface wind y-component

–sea_level_pressure arg (=PSL)

name of variable with sea level pressure

–500mb_temp arg (=T500)

name of variable with 500mb temperature for warm core calc

–200mb_temp arg (=T200)

name of variable with 200mb temperature for warm core calc

–1000mb_height arg (=Z1000)

name of variable with 1000mb height for thickness calc

–200mb_height arg (=Z200)

name of variable with 200mb height for thickness calc

–storm_core_radius arg (=2)

maximum number of degrees latitude separationi between vorticity max and pressure min defining a storm

–min_vorticity arg (=1.6e-4)

minimum vorticty to be considered a tropical storm

–vorticity_window arg (=7.74446)

size of the search window in degrees. storms core must have a local vorticity max centered on this window

–pressure_delta arg (=400)

maximum pressure change within specified radius

–pressure_delta_radius arg (=5)

radius in degrees over which max pressure change is computed

–core_temp_delta arg (=0.8)

maximum core temperature change over the specified radius

–core_temp_radius arg (=5)

radius in degrees over which max core temperature change is computed

–thickness_delta arg (=50)

maximum thickness change over the specified radius

–thickness_radius arg (=4)

radius in degrees over with max thickness change is computed

–lowest_lat arg (=80)

lowest latitude in degrees to search for storms

–highest_lat arg (=80)

highest latitude in degrees to search for storms

–max_daily_distance arg (=1600)

max distance in km that a storm can travel in one day

–min_wind_speed arg (=17)

minimum peak wind speed to be considered a tropical storm

–min_wind_duration arg (=2)

number of, not necessarily consecutive, days min wind speed sustained

–track_file arg (=tracks.bin)

file path to write storm tracks to. The extension determines the file format. May be one of .nc, .csv, or .bin

–first_step arg (=0)

first time step to process

–last_step arg (=-1)

last time step to process

--start_date arg

The first time to process in ‘Y-M-D h:m:s’ format. Note: There must be a space between the date and time specification

--end_date arg

The last time to process in ‘Y-M-D h:m:s’ format

–n_threads arg (=-1)

Sets the thread pool size on each MPI rank. When the default value of -1 is used TECA will coordinate the thread pools across ranks such each thread is bound to a unique physical core.

--help

displays documentation for application specific command line options

--advanced_help

displays documentation for algorithm specific command line options

--full_help

displays both basic and advanced documentation together

Examples

CAM5 data

#!/bin/bash
#SBATCH -N 913
#SBATCH -C knl
#SBATCH -q regular
#SBATCH -t 01:00:00
#SBATCH -A m1517
#SBATCH -J teca_tc_detect

# set up for gcc environment
module swap PrgEnv-intel PrgEnv-gnu

# load the TECA module
module use /global/cscratch1/sd/loring/teca_testing/installs/develop/modulefiles/
module load teca

data_dir=/global/cscratch1/sd/mwehner/machine_learning_climate_data/All-Hist/CAM5-1-0.25degree_All-Hist_est1_v3_run1/h2

time srun -N 913 -n 58400 \
    teca_tc_detect --input_regex ${data_dir}/'.*\.nc$'  \
        --candidate_file CAM5-1-025degree_All-Hist_est1_v3_run1_h2_candidates.bin \
        --track_file CAM5-1-025degree_All-Hist_est1_v3_run1_h2_tracks.bin

This example shows the detection of TC’s in a large (3TB, 7300 file) CAM5 dataset using 58400 cores on NERSC Cori. The run completed in 35 minutes 4 seconds on the KNL nodes. As shown in the above example, teca_metadata_probe was used to determine the number of MPI ranks.

teca_tc_trajectory

The teca_tc_trajevctory application generates cyclone tracks from a set of cyclone candidates. A number of detector parameters are applied here that influence the assembly of tracks from candidates. The parameters are more completely described in [VS01]. The teca_tc_trajectory application is not needed to obtain TC tracks because the same code runs as part of the teca_tc_detect application. It’s primary use is for re-running tracking stages of the algorithm with different parameters on the same set of candidates.

_images/candidates_and_tracks.png

Fig. 4 Cyclone candidates and tracks. Not all candidates end up in tracks.

Inputs

A table of TC candidates.

Outputs

A table of TC tracks.

Command Line Arguments

–candidate_file arg (=candidates.bin)

file path to read the storm candidates from

–max_daily_distance arg (=1600)

max distance in km that a storm can travel in one day

–min_wind_speed arg (=17)

minimum peak wind speed to be considered a tropical storm

–min_wind_duration arg (=2)

number of, not necessarily consecutive, days min wind speed sustained

–track_file arg (=tracks.bin)

file path to write storm tracks to. The extension determines the file format. May be one of .nc, .csv, or .bin

--help

displays documentation for application specific command line options

--advanced_help

displays documentation for algorithm specific command line options

--full_help

displays both basic and advanced documentation together

Examples

An example of running the trajectory stage is:

teca_tc_trajectory \
    --candidate_file candidates_1990s.bin       \
    --track_file tracks_1990s.bin

the file tracks_1990s.bin will contain the list of storm tracks.

teca_tc_wind_radii

The wind radii application computes an estimation of a TC’s physical size using the algorithm described in [CLE15] and [CL16]. For each point on each track a radial profile is computed over a number of angular intervals. The radial profiles are used to compute distance from the storm center to the first downward crossing of given wind speeds. The default wind speeds are the Saffir-Simpson transitions. Additionally distance to the peak wind speed and peak wind speed are recorded. A new table is produced containing the data.

Tracks are processed in parallel. The TC trajectory scalars application, TC stats application and ParaView plugin can be used to further analyze the data. This application has been used to generate data to train machine learning algorithms.

_images/vbot_tmq_wr_prof_and_plot_0093.png

Fig. 5 A category 5 storm about to make landfall over Japan and the strom’s radial wind profile at the same time instant. Rings in the image on the right correspond to blue lines in the radial profile on the right. Red lines in the profile show the Saffir-Simpson thresholds.

Inputs

  1. A table of TC tracks as generated by the teca_tc_detect application or other application with at least time step, track id, and lat, lon locations.

  2. The original mesh based data from which tracks were computed with at least wind velocity vector.

Output

A table of TC tracks augmented with storm size columns, with a column for each threshold and an additional column for the radius at the peak wind speed.

Command Line Arguments

--track_file arg

a file containing cyclone tracks (tracks.bin)

--input_file arg

a teca_multi_cf_reader configuration file identifying the set of NetCDF CF2 files to process. When present data is read using the teca_multi_cf_reader. Use one of either –input_file or –input_regex.

--input_regex arg

a teca_cf_reader regex identifying the set of NetCDF CF2 files to process. When present data is read using the teca_cf_reader. Use one of either –input_file or –input_regex.

--wind_files arg

a synonym for –input_regex.

–track_file_out arg (=tracks_size.bin)

file path to write cyclone tracks with size

–wind_u_var arg (=UBOT)

name of variable with wind x-component

–wind_v_var arg (=VBOT)

name of variable with wind y-component

--track_mask arg

An expression to filter tracks by

–number_of_bins arg (=32)

number of bins in the radial wind decomposition

–profile_type arg (=avg)

radial wind profile type. max or avg

–search_radius arg (=6)

size of search window in decimal degrees

–first_track arg (=0)

first track to process

–last_track arg (=-1)

last track to process

–n_threads arg (=-1)

Sets the thread pool size on each MPI rank. When the default value of -1 is used TECA will coordinate the thread pools across ranks such each thread is bound to a unique physical core.

--help

displays documentation for application specific command line options

--advanced_help

displays documentation for algorithm specific command line options

--full_help

displays both basic and advanced documentation together

Examples

CAM5 data

#!/bin/bash

#SBATCH -A m1517
#SBATCH -C knl
#SBATCH -t 00:30:00
#SBATCH -q debug
#SBATCH -N 22

module swap PrgEnv-intel PrgEnv-gnu

module use  /global/cscratch1/sd/loring/teca_testing/deps/cf_reader_performance/modulefiles/
module load teca/cf_reader_performance

# if on KNL. avoid an error about too many cores in OpenBLAS (used by numpy)
export OMP_NUM_THREADS=1

data_dir=/global/cscratch1/sd/mwehner/machine_learning_climate_data/All-Hist/CAM5-1-0.25degree_All-Hist_est1_v3_run1/h2

# run the wind radii calculation
time srun -N ${SLURM_NNODES} -n 1448 \
    teca_tc_wind_radii --input_regex ${data_dir}/'^CAM5.*\.nc$' \
        --track_file ${data_dir}/../TECA2/tracks_CAM5-1-2_025degree_All-Hist_est1_v3_run1.bin \
        --track_file_out ./wind_tracks_CAM5-1-2_025degree_All-Hist_est1_v3_run1.bin

This script shows computing the radial wind profiles for the 1448 tracks that were detected in the run shown in the teca_tc_detect, example above.

teca_tc_stats

The statistics stage can be used to compute a variety of statistics on detected cyclones. It generates a number of plots and tables and it can be ran on the login nodes. The most common options are the input file and output prefix.

Inputs

A table of TC tracks generated by the teca_tc_detect application.

Outputs

Class table

A table containing a row for each track, with columns containing location of the first point in the track; min and max of detector parameters; track length and duration; a column indicating the basin of origin; ACE and PDI columns, and Saffir-Simspon categorization

Summary table

Annual counts of storms by Saffir-Simpson category.

Plots

Plots of the tabular data by year and region.

Categorical Distribution

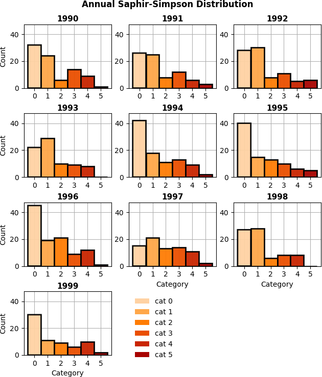
Produces a histogram containing counts of each class of storm on the Saffir-Simpson scale. See figure Fig. 7.

Categorical Monthly Breakdown

Produces histogram for each year that shows the breakdown by month and Saffir-Simpson category. See figure Fig. 8.

Categorical Regional Breakdown

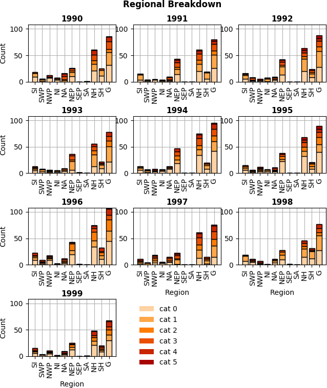
Produces a histogram for each year that shows breakdown by region and Saffir-Simpson category. See figure Fig. 9.

Categorical Regional Trend

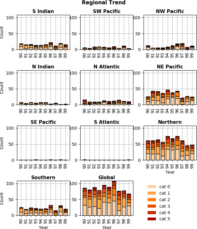
Produces a histogram for each geographic region that shows trend of storm count and Saffir-Simpson category over time. See figure Fig. 10

Parameter Distributions

Produces box and whisker plots for each year for a number of detector parameters. See figure Fig. 6.

Command Line Arguments

The command line arguments to the stats stage are:

positional

tracks_file

A required positional argument pointing to the file containing TC storm tracks.

output_prefix

Required positional argument declaring the prefix that is prepended to all output files.

optional

--help

prints documentation for the command line options.

-d, --dpi

Sets the resolution of the output images.

-i, --interactive

Causes the figures to open immediately in a pop-up window.

-a, --ind_axes

Normalize y axes in the subplots allowing for easier inter-plot comparison.

Analyses produced by the stats stage

Table 1 Stats output 1
_images/stats_1990s_3hr_distribution_1.png

Fig. 6 Parameter Dist.

_images/stats_1990s_3hr_annual_saphire_simpson_distribution_1.png

Fig. 7 Categorical Dist.

_images/stats_1990s_3hr_monthly_breakdown_1.png

Fig. 8 Monthly Breakdown

_images/stats_1990s_3hr_regional_break_down_1.png

Fig. 9 Regional Breakdown

_images/stats_1990s_3hr_regional_trend_1.png

Fig. 10 Regional trend.

_images/basin_poly_validation.png

Fig. 11 Basin Definitions and Cyclogenesis Plot

Example

An example of running the stats stage is:

teca_tc_stats tracks_1990s.bin stats/stats_1990s

teca_tc_trajectory_scalars

The trajectory scalars application can be used to plot detection parameters for each storm in time. For each track, a geographic plot of the track along with the detector parameters is generated. The application can be run in parallel with a maximum concurrency equal to the number of tracks.

_images/track_scalars_1990s_3hr_mdd_4800_000280.png

Fig. 12 The trajectory scalars application plots cyclone properties over time.

Inputs

A table of TC tracks generated by teca_tc_detect optionally including storm size data generated by teca_tc_wind_radii.

Outputs

An image per track showing the path of the track on a map. If storm size data is present that is plotted as bands around the track. A plot showing each detector parameter time evolution is included.

Command Line Arguments

Positional arguments

tracks_file

A required positional argument pointing to the file containing TC storm tracks.

output_prefix

A required positional argument declaring the prefix that is prepended to all output files.

Optional arguments

-h, --help

prints documentation for the command line options.

-d, --dpi

Sets the resolution of the output images.

-i, --interactive

Causes the figures to open immediately in a pop-up window.

--first_track

Id of the first track to process

--last_track

Id of the last track to process

--texture

An image containing a map of the Earth to plot the tracks on.

Example

mpiexec -np 10 ./bin/teca_tc_trajectory_scalars   \
    --texture ../../TECA_data/earthmap4k.png      \
    tracks_1990s_3hr_mdd_4800.bin                 \
    traj_scalars_1990s_3hr_mdd_4800

teca_tc_wind_radii_stats

The wind radii stats application can be used to plot the wind radii distributions. If one takes the category 1 radius to be the size of the cyclone then category 1 radii distribution could be used to compare storm size between two or more runs.

_images/wind_radii_stats.png

Fig. 13 The wind radii stats application plots distribution of wind radii.

Inputs

A table containing TC tracks with storm size data generated by the teca_tc_wind_radii application.

Outputs

Two plots showing a distrubtions of the radii.

Command Line Arguments

positional

tracks_file

A required positional argument pointing to the file containing TC storm tracks.

output_prefix

Required positional argument declaring the prefix that is prepended to all output files.

optional

--help

prints documentation for the command line options.

-d, --dpi

Sets the resolution of the output images.

-i, --interactive

Causes the figures to open immediately in a pop-up window.

--wind_column

Name of the column to load instantaneous max wind speeds from.

Example

teca_tc_wind_radii_stats \
    wind_radii_1990s_3hr_mdd_4800_ed.bin wind_radii_stats_ed/

teca_event_filter

The event filter application lets one remove rows from an input table that do not fall within specified geographic and/or temporal bounds. This gives one the capability to zoom into a specific storm, time period, or geographic region for detailed analysis.

Inputs

A table containing TC tracks.

Outputs

A table with TC tracks matching the bounds query.

Command Line Arguments

in_file

A required positional argument pointing to the input file.

out_file

A required positional argument pointing where the output should be written.

--help

prints documentation for the command line options.

--time_column

name of column containing time axis

--start_time

filter out events occurring before this time

--end_time

filter out events occurring after this time

--step_column

name of column containing time steps

--step_interval

filter out time steps modulo this interval

--x_coordinate_column

name of column containing event x coordinates

--y_coordinate_column

name of column containing event y coordinates

--region_x_coords

x coordinates defining region to filter

--region_y_coords

y coordinates defining region to filter

--region_sizes

sizes of each of the regions

Example

teca_event_filter --start_time=1750 --end_time=1850                       \
    --region_x_coords 260 320 320 260 --region_y_coords 10 10 50 50       \
    --region_sizes 4 --x_coordinate_column lon --y_coordinate_column lat  \
    candidates_1990s_3hr.bin filtered.bin

teca_temporal_reduction

The temporal reduction application applies a reduction operator on the time axis of a NetCDF CF2 dataset. The reduction can be applied over a number of specific intervals, for instance daily, monthly, or seasonal intervals. Minimum, maximum, and average operators are supported.

A rule of thumb for when running in parallel one should size the job such that there is a rank per interval. For instance, to apply a reduction that computes a monthly time series from a 6 hourly time series spanning 10 years one would use 120 ranks. In this case the reduction interval is monthly and one arrives at 120 MPI ranks by multiplying: 12 months/year * 10 years. The procedure for selecting the number of MPI ranks for other intervals and datasets with different time spans is similar.

Inputs

A mesh with one temporal resolution.

Outputs

A mesh with a reduced temporal resolution.

Command Line Arguments

--help

show this help message and exit

--input_file INPUT_FILE

a teca_multi_cf_reader configuration file identifying the set of NetCDF CF2 files to process. When present data is read using the teca_multi_cf_reader. Use one of either –input_file or –input_regex. (default: None)

--input_regex INPUT_REGEX

a teca_cf_reader regex identifying the set of NetCDF CF2 files to process. When present data is read using the teca_cf_reader. Use one of either –input_file or –input_regex. (default: None)

--interval INTERVAL

interval to reduce the time axis to. One of daily, monthly, or seasonal (default: monthly)

--operator OPERATOR

reduction operator to use. One of minimum, maximum, or average (default: average)

–point_arrays POINT_ARRAYS [POINT_ARRAYS …]

list of point centered arrays to process. (default: None)

--fill_value FILL_VALUE

A value that identifies missing or invalid data. Specifying the fill value on the command line overrides array specific fill values stored in the file. (default: None)

--ignore_fill_value

Boolean flag that enables missing or invalid value handling. When enabled NetCDF CF conventions are used to determine fill value. Alternativley one can explicitly provide a fill value on the command line via the –fill_value argument. (default: False)

--output_file OUTPUT_FILE

A path and file name pattern for the output NetCDF files. %t% is replaced with a human readable date and time corresponding to the time of the first time step in the file. Use –date_format to change the formatting (default: None)

--steps_per_file STEPS_PER_FILE

number of time steps to write to each output file (default: 128)

--x_axis_variable X_AXIS_VARIABLE

name of the variable to use for x-coordinates (default: lon)

--y_axis_variable Y_AXIS_VARIABLE

name of the variable to use for y-coordinates (default: lat)

--z_axis_variable Z_AXIS_VARIABLE

name of z coordinate variable. When processing 3D set this to the variable containing vertical coordinates. When empty the data will be treated as 2D. (default: )

--t_axis_variable T_AXIS_VARIABLE

name of the variable to use for t-coordinates (default: time)

--n_threads N_THREADS

Number of threads to use when stremaing the reduction (default: 2)

--verbose VERBOSE

enable verbose mode. (default: 0)

Examples

Daily Average of CAM5 Data

This example illustrates computing a daily average of TMQ from 20 years of simulated time at quarter degree 3 hourly resolution.

4m47.865s

#!/bin/bash
#SBATCH -C knl
#SBATCH -N 73
#SBATCH -q regular
#SBATCH -t 00:30:00
#SBATCH -A m1517
#SBATCH -J 2_daily_average

# load the gcc environment
module swap PrgEnv-intel PrgEnv-gnu

# bring a TECA install into your environment
module use /global/cscratch1/sd/loring/teca_testing/installs/develop/modulefiles
module load teca

# print the commands as they execute, and error out if any one command fails
set -e
set -x

# make a directory for the output files
data_dir=/global/cscratch1/sd/mwehner/machine_learning_climate_data/All-Hist/CAM5-1-0.25degree_All-Hist_est1_v3_run1/h2

out_dir=CAM5-1-025degree_All-Hist_est1_v3_run1_daily_avg
mkdir -p ${out_dir}

# compute the daily average. change -N and -n to match the rus size.
# the run size is determened by the number of output time steps. here the
# input is 3 hourly, the output is daily.
time srun -N 73 -n 146 \
    teca_temporal_reduction \
        --n_threads 2 --verbose 1 --input_regex ${data_dir}/'.*\.nc$' \
        --interval daily --operator average --point_arrays TS TMQ --ignore_fill_value \
        --output_file ${out_dir}/CAM5-1-025degree_All-Hist_est1_v3_daily_avg_%t%.nc \
        --steps_per_file 50

Seasonal Average of ERA5 Data

This example contains the batch script from a run on NERSC Cori computing seasonal averages of TCWV spanning 41 years of simulated time at a quarter degree, 1 hourly resolution.

#!/bin/bash
#SBATCH -C knl
#SBATCH -N 164
#SBATCH -q regular
#SBATCH -t 02:00:00
#SBATCH -A m1517
#SBATCH -J 2_seasonal_average_ERA5

# load the gnu environment
module swap PrgEnv-intel PrgEnv-gnu

# bring a TECA install into your environment
module use /global/cscratch1/sd/loring/teca_testing/installs/develop/modulefiles
module load teca

# print the commands as they execute, and error out if any one command fails
set -e
set -x

# make a directory for the output files
data_dir=CMIP6_ERA5_e5_oper_an_sfc
out_dir=CMIP6_ERA5_e5_oper_an_sfc_seasonal_avg
mkdir -p ${out_dir}

# compute the daily average. change -N and -n to match the run size.
# the run size is determened by the number of output time steps. here the
# input is 41 years of 1 hourly data, the output is seasonal, with 164 seasons.
time srun -N 164 -n 164 \
    teca_temporal_reduction \
        --n_threads 4 --verbose 1 --input_regex ${data_dir}/'.*\.nc$' \
        --x_axis_variable longitude --y_axis_variable latitude \
        --interval seasonal --operator average --point_arrays TCWV \
        --output_file ${out_dir}/e5_oper_an_sfc_128_137_tcwv_ll025sc_seasonal_avg_%t%.nc \
        --steps_per_file 4

This run made use of 164 MPI ranks on 164 KNL nodes. 164 ranks were used because the input data spans 41 years of simulated time, and 41 years each with 4 seasons makes for 164 seasons. Within each rank 4 threads were used. 546 GB of input data was processed and a 651 MB dataset was produced. The run completed in approximately 81 minutes. Sections Rearranging Input Data and ERA5 data show the run preparation.

teca_deeplab_ar_detect

This AR detection application identifies AR’s using a machine learning based approach. It is currently under development and released for experimental use.

Command Line Arguments

-h, --help

show this help message and exit

--input_file INPUT_FILE

a teca_multi_cf_reader configuration file identifying the set of NetCDF CF2 files to process. When present data is read using the teca_multi_cf_reader. Use one of either –input_file or –input_regex. (default: None)

--input_regex INPUT_REGEX

a teca_cf_reader regex identifying the set of NetCDF CF2 files to process. When present data is read using the teca_cf_reader. Use one of either –input_file or –input_regex. (default: None)

--ivt IVT

name of variable with integrated vapor transport magnitude (default: IVT)

--compute_ivt_magnitude

when this flag is present magnitude of vector IVT is calculated. use –ivt_u and –ivt_v to set the name of the IVT vector components if needed. (default: False)

--ivt_u IVT_U

name of variable with longitudinal component of the integrated vapor transport vector. (default: IVT_U)

--ivt_v IVT_V

name of variable with latitudinal component of the integrated vapor transport vector. (default: IVT_V)

--write_ivt_magnitude

when this flag is present IVT magnitude is written to disk with the AR detector results (default: False)

--compute_ivt

when this flag is present IVT vector is calculated from specific humidity, and wind vector components. use –specific_humidity –wind_u and –wind_v to set the name of the specific humidity and wind vector components, and –ivt_u and –ivt_v to control the names of the results, if needed. (default: False)

--specific_humidity SPECIFIC_HUMIDITY

name of variable with the 3D specific humidity field. (default: Q)

--wind_u WIND_U

name of variable with the 3D longitudinal component of the windvector. (default: U)

--wind_v WIND_V

name of variable with the 3D latitudinal component of the wind vector. (default: V)

--write_ivt

when this flag is present IVT vector is written to disk with the result (default: False)

--x_axis_variable X_AXIS_VARIABLE

name of x coordinate variable (default: lon)

--y_axis_variable Y_AXIS_VARIABLE

name of y coordinate variable (default: lat)

--z_axis_variable Z_AXIS_VARIABLE

name of z coordinate variable (default: plev)

--output_file OUTPUT_FILE

A path and file name pattern for the output NetCDF files. %t% is replaced with a human readable date and time corresponding to the time of the first time step in the file. Use –date_format to change the formatting (default: None)

--steps_per_file STEPS_PER_FILE

number of time steps per output file (default: 128)

--target_device TARGET_DEVICE

set the execution target. May be one of “cpu”, or “cuda” (default: cpu)

--n_threads N_THREADS

Sets the thread pool size on each MPI rank. When the default value of -1 is used TECA will coordinate the thread pools across ranks such each thread is bound to a unique physical core. (default: -1)

--n_threads_max N_THREADS_MAX

Sets the max thread pool size on each MPI rank. Set to -1 to use all available cores. (default: 4)

--binary_ar_threshold BINARY_AR_THRESHOLD

probability threshold for segmentingar_probability to produce ar_binary_tag (default: 0.6666666666666666)

--pytorch_model PYTORCH_MODEL

path to the the pytorch model file (default: None)

--t_axis_variable T_AXIS_VARIABLE

time dimension name (default: None)

--t_calendar T_CALENDAR

time calendar (default: None)

--t_units T_UNITS

time unit (default: None)

--filename_time_template FILENAME_TIME_TEMPLATE

filename time template (default: None)

--date_format DATE_FORMAT

A strftime format used when encoding dates into the output file names (%F-%HZ). %t% in the file name is replaced with date/time of the first time step in the file using this format specifier. (default: None)

--first_step FIRST_STEP

first time step to process (default: 0)

--last_step LAST_STEP

last time step to process (default: -1)

--start_date START_DATE

first time to process in “YYYY-MM-DD hh:mm:ss” format (default: None)

--end_date END_DATE

end time to process in “YYYY-MM-DD hh:mm:ss” format (default: None)

--verbose

Enable verbose output (default: False)

Node level parallelism

Torch can make use of GPUs or OpenMP thread pools for node level parallelism.

OpenMP

TECA internally configures OpenMP such that its thread pools will make use of up to 4 threads bound to unique CPU cores taking into account all ranks running on the node. To take advantage of threads on Cori KNL when using the teca_deeplab_ar_detect application limit the number of MPI ranks per node to 17 or fewer, or on Cori Haswell 8 or fewer. To use more than 4 threads per rank (not recommended) set –n_threads_max to a number larger than 4.

CUDA

To enable use of CUDA pass –target_device cuda to the teca_deeplab_ar_detect application. TECA assigns MPI ranks to GPUs in a round robin fashion. If more MPI ranks than GPUs are scheduled to a node then multiple MPI ranks will share a single GPU.

Examples

CMIP6 Data

This example illustrates running teca_deeeplab_ar_detect command line application on a CMIP6 dataset on NERSC Cori KNL nodes. The dataset is further described in ref:cmip6_ex_desc<teca_bayesian_ar_detect examples>.

#!/bin/bash
#SBATCH -C knl
#SBATCH -N 1484
#SBATCH -q regular
#SBATCH -t 00:45:00
#SBATCH -A m1517
#SBATCH -J 2_deeplab_AR_detect

# load the gcc module
module swap PrgEnv-intel PrgEnv-gnu

# bring a TECA install into your environment
module use /global/cscratch1/sd/loring/teca_testing/installs/develop/modulefiles
module load teca

# print the commands aas the execute, and error out if any one command fails
set -e
set -x

# 94964 steps
# 4 steps per rank
# === 23741 ranks
# 4 cores per rank
# 64 cores per node
# === 16 ranks per node
# === 1484 nodes

# locate the model file
pytorch_model=/global/cscratch1/sd/loring/teca_testing/TECA_data/cascade_deeplab_IVT.pt

# make a directory for the output files
out_dir=HighResMIP_ECMWF_ECMWF-IFS-HR_highresSST-present_r1i1p1f1_6hrPlevPt/deeplab_all
rm -rf ${out_dir}
mkdir -p ${out_dir}

# do the ar detections. tell slurm to generate core masks for OpenMP
time srun -N 1484 -n 23741 teca_deeplab_ar_detect \
    --pytorch_model ${pytorch_model} \
    --input_file ./HighResMIP_ECMWF_ECMWF-IFS-HR_highresSST-present_r1i1p1f1_6hrPlevPt.mcf \
    --compute_ivt --wind_u ua --wind_v va --specific_humidity hus \
    --write_ivt --write_ivt_magnitude \
    --output_file ${out_dir}/deeplab_AR_%t%.nc \
    --steps_per_file 128

teca_convert_table

The teca_convert_table application can be used to convert tabular data in between known file formats. Its most often used to convert tracks generated with teca_tc_detect from TECA’s binary file format into CSV or NetCDF format that can be easily ingested by other tools. By default the input and output file formats are determined from the file extension.

Inputs

The file name of a table to convert, followed by the file name to write the result to. By default the extension of the file names are used to determine the file formats to use. The recognized file formats are: .bin, .csv, and .nc.

Outputs

The converted table.

Command Line Options

positional

in_file

the path to the table to convert

out_file

the path to write the converted table to.

optional

--help

show this help message and exit

--in_format IN_FORMAT

The file format to assume on the input. One of: auto, bin, csv. (auto) (default: auto)

--out_format OUT_FORMAT

The file formate to use in the output. One of: auto, bin, csv, netcdf. (auto) (default: auto)

--select SELECT

a logical expression on table columns. Row where this evaluates to true are passed to the output (default: None)

Examples

teca_convert_table tracks.bin tracks.nc

This example converts a table stored in TECA’s binary format to NetCDF. To covnert to CSV instead one would change the extension from .nc to .csv.